Mosquito Bundle - Earth as a System
Mosquito Protocol Bundle
Mosquitoes infect hundreds of millions of people around the world with diseases such as yellow fever, malaria, and dengue. These diseases have serious health impacts and kill millions of people each year. According to the World Health Organization, more than 50% of the world’s population is at risk of contracting a mosquito-borne illness.
By making observations and recording data using the The GLOBE Program's app, GLOBE Observer Mosquito Habitat Mapper, you can report information about the mosquitoes that you find in your local area and help contribute to reducing the risk of disease outbreaks in your community.
Learn more about MyNASA Data and the Mosquito protocol bundle.

Mosquitoes & the Environment
In temperate regions, climate change and warming temperatures have accelerated invasive mosquito migration to higher elevations and latitudes. In order to breed and develop, mosquitoes need warm temperatures (6-16° C minimum) and a source of standing water. Because of these requirements, mosquito populations are acutely sensitive to changes in environmental conditions.
Inside the GLOBE Mosquito Bundle, you can find GLOBE Protocols and datasets that will help you better understand how mosquitoes interact with the various Earth Spheres. You can also use these resources in conjunction with our Mosquito Habitat Mapper data to explore scientific questions relating to public health, as well as expanding our understanding of mosquito biology and ecology.
Bundle Overview
- Hydrosphere
- Water Temperature
- Temperature is a physical parameter that indicates the coldness or hotness of a water sample. The temperature of the water is an important factor for breeding and development of adult mosquitoes. Some species of mosquitoes can only emerge as adult mosquitoes when the suitable temperature of water has been met.
- Water pH
- Water pH is an important property of water because it assesses how acidic or basic the water sample is. The pH of the water can determine how effectively mosquito larvae grow and mature in a given water body. Some freshwater mosquito species can only tolerate specific pH water ranges for complete larval development.
- Water Transparency
- Water transparency is another important determinant in the growth and development of mosquitoes. Also known as water turbidity, this property affects water temperature because the suspended particles in water can absorb and scatter light, hence, increase the water temperature during daytime, and can expose mosquito larvae thriving in the top water layer longer at higher temperatures (Paajimans, et al. 2008).
- Salinity
- Salinitiy, in tandem with pH, are important physicochemical parameters of water for mosquitoes. Salinity has broad implications for the viability of mosquito eggs in a body of water. Generally, mosquito larvae survive in areas with lower salinities, however, there are some species that developed different strategies to adapt to high levels of salinity (Multini, et al. 2021). These adaptations of mosquitoes enable these organisms to survive and mature until the reproductive stage.
- Dissolved Oxygen (DO)
- DO has a significant impact for the development of an adult mosquito, similar to pH and salinity. Dissolved oxygen levels affect the survival and development of mosquito species. Lower levels of dissolved oxygen in water samples can result in reduced rate of survival in mosquito larvae and prolonged periods of developmental stage (Silerbush & Tsurism, 2015).
- Water Temperature
- Atmosphere
- Air Temperature
- Air temperature has a significant effect on the population of mosquitoes because it influences and determines the specific locations on which mosquitoes can thrive and reproduce successfully. Air temperature also has a significant effect on mosquito eggs viability, while some species of mosquitoes require an optimal temperature for their eggs to hatch (Bellone & Failloux, 2020).
- Precipitation
- Precipitation influences the quality and quantity of mosquito breeding sites, because it can increase or decrease available breeding pools of mosquitoes, thus directly affecting their population. Mosquitoes can increase their population by maintaining their breeding sites, or reduce their population by flushing out mosquito larvae from their breeding habitats due to high amounts of rainfall (Drakou, et. al 2020).
- Humidity is another important factor in mosquito populations. Variations in humidity can impact vector populations by affecting their egg numbers and oviposition patterns (Costa et al. 2010). Low levels of relative humidity can result to a decrease in the lifespan of mosquitoes (Yamana & Eltahir, 2013).
- Green-Up
- The timing of plant leaf-out influences the soil's moisture content and can provide cover for breeding mosquitoes.
- Green-Down
- Green-Down, or leaf-abscission, is a process where plants drop all of their leaves within a period of time. When fallen leaves accumulate in the soil, it can affect the moisture content of the soil and can also provide cover for breeding mosquitoes. However, as plants lose their foliage, a greater amount of the soil is also exposed to the sun’s rays, which can dry up standing water and thus reduce the breeding pools for active mosquitoes.
- Land Cover
- Land cover is a relevant aspect for organisms inhabiting a specific landscape, especially for mosquitoes. In order to predict the abundance of flood and swamp water mosquitoes, data from the surface wetness, modeled from soil moisture, topographic, and vegetation can be analyzed (Shaman, et al. 2002). In addition, activities that modify the land cover composition and landscape structure can create changes affecting the spatial distribution and composition of epidemiologically important mosquito species (Hernandez-Valencia, et al. 2020).
- Biometry
- The height of the trees in a given area can influence the topography and populations of mosquito vector species.
- Air Temperature
- Pedosphere
- Soil Moisture
- The soil's moisture has a substantial influence on the rate of mosquito transmission and can be used to predict how aggressive mosquitoes can become towards their hosts, such as humans (Patz, 2002). Soil moisture can also account for changes in land use, like draining of swamps and water development projects to influence mosquito ecology and transmission, meanwhile, soil moisture conditions can also be conducive for the growth of mosquito species (Ohta & Kaga, 2012).
- Soil Moisture
Mosquito vectors are considered to be among the deadliest animals in the world. The WHO estimates that millions of people succumb to diseases transmitted to humans by mosquitoes every year.
Mosquitoes & Our Changing Climate
Changes in both human activity and climate play a significant role in the increase of vector-borne disease worldwide. Human migration, travel, and commerce have enabled mosquito species in previously isolated areas to expand into countries around the world. Furthermore, our rapid urbanization of natural areas and changes in land use practices have increased vector-borne disease risk by bringing mosquito vectors into close proximity with human populations. For example, unreliably piped water and inadequate sewage management can create opportunistic breeding environments in urbanized areas, while deforestation of natural habitats for agriculture, forestry, and mining introduce mosquito vectors to new landscapes and place them in direct contact with our communities.
Changing climates have also enabled invasive mosquito species once confined to the tropics and subtropics to advance poleward, establishing populations with the potential to transmit deadly pathogens. Changes in precipitation patterns—both increased frequency of heavy rainfall, and counterintuitively, drought events—can promote the creation of opportunistic still-water habitats for breeding mosquitoes. Increased temperatures enable species to expand their ranges into areas where seasonal freezing and cold temperatures were once a limiting factor, while also improving mosquito survival, susceptibility to pathogens, increased biting behavior in females, decreased maturation time, and more generations per season. This accelerated rate of pathogen development and transmission results in an increased risk of mosquito-borne disease.
How Does a Mosquito Function?
There are still many fundamental questions about mosquito biology and ecology that are being explored. By examining the relationship between environmental data and mosquito data, we can continue to fill critical gaps in our understanding of disease transmission dynamics. For example, because mosquitoes are cold-blooded organisms that spend part of their life cycle as an aquatic organism, we expect there's some connection between mosquitoes and temperature/precipitation data. Scientists have investigated a wide variety of environmental variables, some of which have shown to be important factors in determining when and where mosquito habitats are found.
In sub-Saharan West Africa, scientists have been investigating how malaria vectors survive during the intensely hot and dry months. While some species are able to persist in a semi-dormant state, or aestivation, during the dry season, research by North and Godfray (2018) modeled the persistence of mosquito vectors of malaria in Burkina Faso. They determined that neither aestivation nor local dispersion from nearby (ca. 30 km) regions with year-round moisture could explain the dramatic surge in mosquito populations observed in sub-Saharan West Africa during the rainy season. Their model suggests that long distance migration—over hundreds of kilometers—best explains the observed population dynamics.
Variations in humidity can also impact vector populations. In an experimental analysis, a decrease in humidity from 80% to 60% reduced egg numbers and changed oviposition patterns (Costa et al. 2010). Surface wetness, modeled from soil moisture, topographic and vegetation data has been used to predict the abundance of flood and swamp water mosquitoes (Shaman et al. 2002). In a study targeting mosquito species responsible for transmitting malaria pathogens in Kenya, models that include soil moisture as a parameter improved prediction of biting rates compared to rainfall alone and was broadly more predictive than raw precipitation data. Moisture lags of two weeks explained up to 45% of Anopheles gambiae biting variability, compared to 8% for raw precipitation (Patz 2002).
Insect trapping experiments from the Sahel in Mali have demonstrated that mosquitoes can travel as high as 290 meters above the ground for as far as 300 km in a single nighttime 9-hour flight (Huestis et al. 2019). The authors propose that seasonal high-altitude southerly winds could carry mosquito vectors to the Sahel from wetter, year-round habitats in the south, and return them when the winds blow in the opposite direction in the dry season. The model by Huestis et al. (2019) suggests that massive migrations of more than 50 million mosquitoes take place every year in this region, and may resolve the region’s “dry-season paradox,” (Dao et al. 2014).
Sallam et al. (2017) conducted a systematic meta-analysis of research studies that examined the land cover, meteorological, and socioeconomic factors that potentially explain when and where Aedes mosquitoes were found. The authors compiled the outcomes from 21 published research studies that employed a variety of different methodologies, models, and variables. In their review, they identified the most common parameters examined by different teams exploring factors determining the spatio-temporal distribution of Aedes mosquito habitats, as well as the most common modeling software employed. Some of their results are listed below:
|
Species Distribution Models (SDMs) |
Meteorological Variables | Land Cover/Land Use Variables | Socioeconomic Determinants |
| Random Forest | Annual precipitation | Land cover | Human population density |
| Max Ent | mean annual daytime temperature | canopy cover | housing density |
| Artificial Neural Network | nighttime temperature | vegetation type | housing age |
| Genetic Algorithm for Rule set Production | drought index | residential settings | median family income |
| Boosted Regression Tree | relative humidity | urban heat island | poverty index |
| Support Vector Machines | evapotranspiration | impervious surface | human case data |
| soil moisture | topography |
Table 1. Species Distribution Models, meteorological variables, land cover and land use variables, and socioeconomic determinants identified in the systematic literature review by Sallam et al. (2017).
The review noted that there was no single factor that could explain variation in the spatiotemporal distribution of Aedes. The authors concluded by emphasizing the need for more studies, “to improve our knowledge about Aedes presence/abundance within their flight range in response to the interaction between environmental, socioeconomic and meteorological systems,” (Sallam et al. 2017).
By examining the data from our GLOBE Protocols, environmental satellites, and Mosquito Habitat Mapper, you can continue to contribute to our understanding of the importance and roles played by these different environmental variables. In future research, comparing these parameters in conjunction with demographic and epidemiological data in a multi-system modeling approach will generate risk models that can be utilized to predict disease outbreaks and inform mosquito control practices.
Student Questions
To better understand how mosquito populations respond to short- and long-term habitat changes, there are many first-order, scientific questions that can be explored. These questions include:
- What are the preferred habitats of specific mosquito species?
- What lag time is exhibited after an extreme weather event before mosquito populations increase or decrease?
- How hot does it have to be before mosquito populations decline?
- Does humidity play a role in mosquito population dynamics?
- What relationship is exhibited between land cover, land use, and mosquito breeding sites?
- What impacts do floods, droughts, and high or low-temperature anomalies have on mosquito populations?
Student Projects
In addition to examining the relationship between environmental conditions and mosquito populations, there are also opportunities for students to conduct field experiments to illuminate the egg-laying behaviors of different mosquito vectors. Check out some of our student projects for the Mosquito Bundle below:
|
|
Indoor/outdoor containers |
|
|
Containers with lids and without lids |
|
|
Dark/light containers |
|
|
Earthen/Plastic containers and Natural/artificial containers |
Note: The Mosquito Habitat Mapper has a comment box labeled eliminate breeding habitat on the last frame of the mobile tool. You can use this box to keep track of specific habitat variables you're examining, to identify container features that aren't listed in the app choices, or for whatever purpose you need while taking measurements. When you upload your data to the GLOBE database, and you can continue to access all of your observations you wrote in the comments box.
To get an idea of how all these different environmental variables are incorporated into the Mosquito Bundle, check out the following case study trying to answer the question:
How do the El Niño and La Niña events influence dengue cases in Muang district, Nakhon Si Thammarat, southern Thailand?
Note: This case study was taken from the GLOBE IVSS project The effect of ENSO on dengue cases in Muang Nakhon Si Thammarat by Princess Chulabhorn Science High School Thammarat, Thailand
Introduction
Dengue cases in Muang Nakhon Si Thammarat in the wet season were higher than in the dry season (Figure 1) (Noradin et al., GLOBE IVSS 2016)

Figure 1. Monthly dengue cases in wet and dry seasons at Muang Nakhon Si Thammarat, Thailand for January 2011-January 2016 (Noradin et al., 2016).
Data Collection
Dengue cases in January 2011-December 2017 were obtained from the Vector-Borne Disease Control Centre laboratory 11. Nakhon Si Thammarat atmospheric data were collected from Meteorological Department of Thailand during January 1987-December 2017. Nakhon Si Thammarat atmospheric data were collected from the automatic weather station located at Princess Chulabhorn College Nakhon Si Thammarat during January 2017-December 2017.
El Niño-La Niña data were obtained from the National Weather Service Climate Prediction Center during 1987-2017. We collected daily rainfall, rainy days, relative humidity, mean/min/max temperature and El Niño -La Niña data. We collected daily rainfall, rainy days, relative humidity, mean/min/max temperature and El Nino-La Nina data. We separated dengue cases from January 2011- December 2017 into year of El Nino-La Nina and normal year. Sea Surface Temperature (SST) data during January 1987 to December 2017 were obtained from http://www.cpc.ncep.noaa.gov/data/indices/sstoi.indices. We collected SST data using data from Nino 3.4 index. This information indicates the state and severity of SST at each time period and indicate the starting point of El Niño and La Niña events (Xue et al., 2003).
Data Analysis
House index was calculated as the number of positive households divided by the total number of households inspected. Household locations with the number of mosquito larvae were visualized as the point overlaid on Google Earth. Descriptive statistics were calculated. Independent sampled t-tests were used to test the mean differences of dengue cases and climatic factors are influenced by El Niño-La Niña events. Pearson correlations were used to test the association between dengue cases and climatic factors. The significant tests were one-tailed with significant level at P<0.05.
Results
Number of Dengue cases and local Temperature Index
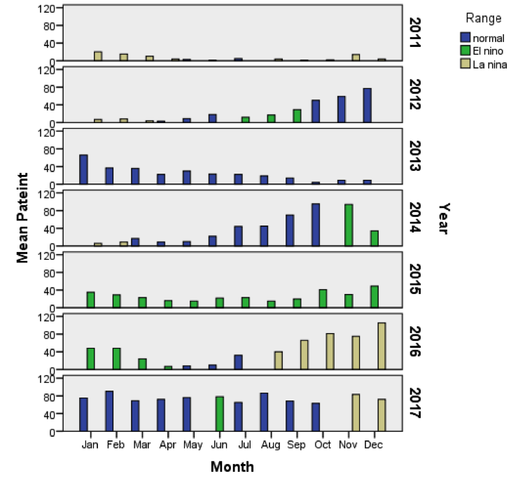
The ENSO indices used in this study were the Nino 3.4 during 1987–2017. ENSO events were defined as periods at or above the +0.5°C SST anomaly for warm (El Niño) events and at or below the -0.5°C anomaly for cold (La Niña) events. Our results showed that La Niña events were observed in 2011–2012, normal events were observed in 2013–2014, and El Niño events were observed in 2015–2016 (Figure 2).

Figure 2. Dengue cases in Muang Nakhon Si Thammarat (blue bars represent monthly dengue cases) and ENSO indices (orange line represents Nino 3.4 Index).
The number of dengue cases seems to be increasing after El Niño events (Figure 3).

Figure 3. The Dengue incidences in El Niño (green bars), Normal (blue bars) and La Niña (yellow bars) events.
The ENSO index and Relative Humidity in El Niño times
Relative humidity (%) was positively correlated with Nino3.4 in the Muang district, Nakhon Si Thammarat province during El Niño events. Climate factors were not significantly correlated with Nino 3.4 in La Niña events (Table 1).
Table 1: Spearman Correlation coefficient of Nino 3.4 and El Niño’s climatic factors (N=32)
| Rainfall (mm) | Rainy days (days) | Mean Temperature (°C) | Relative Humidity (%) | |
|---|---|---|---|---|
| El Niño event | ||||
| Spearman Correlation | 0.146 | 0.329 | -0.221 | 0.550 |
| Sig (1-tailed) | 0.258 | 0.067 | 0.161 | 0.004 |
| La Niña event | ||||
| Spearman Correlation | 0.190 | -0.289 | 0.365 | -0.303 |
| Sig (1-tailed) | 0.211 | 0.108 | 0.057 |
0.097 |
Climatic factors and dengue cases during El Niño events
Rainfall, rainy days, mean temperature and relative humidity were positively correlated with dengue cases in Muang district, Nakhon Si Thammarat in El Niño and La Niña events. The number of rainy days was the only factor that positively correlated with dengue cases. Other climatic factors were not significantly correlated with dengue cases (Table 2).
Table 2: Spearman Correlation coefficient of dengue cases and El Niño’s climatic factors (N=32)
| Rainfall (mm) | Rainy days (days) | Mean Temperature (°C) | Relative Humidity (%) | |
|---|---|---|---|---|
| El Niño event | ||||
| Spearman Correlation | 0.454 | 0.485 | -0.647 | 0.581 |
| Sig (1-tailed) | 0.017 | 0.016 | 0.002 | 0.002 |
| La Niña event | ||||
| Spearman Correlation | 0.294 | -0.409 | 0.037 | -0.067 |
| Sig (1-tailed) | 0.104 | 0.037 | 0.439 |
0.389 |
Table 3: Number of household, positive households, house index and dengue cases during El Niño - El Niño events.
| Aedes Larvae | ||
| Mar-2016 (El Niño event) | Jan-2018 (La Niña event) | |
| No. of households | 32 | 32 |
| No. of positive households | 25 | 23 |
| House Index (HI) (%) | 78.13 | 72.88 |
House index at Muang Nakhon Si Thammarat and El Niño - La Niña events
From the GLOBE mosquito larvae collection in March 2016 (El Niño event) and February 2018 (La Niña event), house indices (HI) for Ae. aegypti and Ae. albopictus were extremely high (Table 3). Nakhon Si Thammarat province had the HI >5% during El Niño events in March 2016 (HI 78.13%) and La Niña events in January 2018 (HI 72.88%) indicates that Nakhon Si Thammarat is a dengue high risk area.
Climate change poses a great threat to human health in the 21st century. Vector-borne diseases, mediated by cold-blooded organisms, are expected to be the “most climate-sensitive subset of all infectious diseases,” because of their sensitivity to a wide variety of climate parameters (Caminade et al. 2019). Documenting changes in the Earth system, in conjunction with the distribution and prevalence of mosquito vectors, is critical to decreasing disease risk and improving human health worldwide. By using the GLOBE Observer Mosquito Habitat Mapper app, you're helping us gain a better understanding on the location and numbers of mosquitoes present at a variety of spatial scales, from community-scale to worldwide.
Acknowledgements
- Authors:
- Dr. Mullica Jaroensutasinee
- Dr. K. Jaroensutasinee
- GLOBE Science Working Group
- IVSS Case Study Project:
- Students of Princess Chulabhorn Science High School Thammarat, Thailand
- Scientific background section:
- Dr. Russanne Low, GLOBE Observer Mosquito Habitat Mapper Science Lead
- Dr. Russanne Low, GLOBE Observer Mosquito Habitat Mapper Science Lead
References
Caminade, C., McIntyre, K. M., & Jones, A. E. (2019). Impact of recent and future climate change on vector-borne diseases. Annals of the New York Academy of Sciences, 1436(1), 157–173. https://doi.org/10.1111/nyas.13950.
Costa, E., Santos, E., Correia, J. and de Albuquerque, C. (2010). Impact of small variations in temperature and humidity on the reproductive activity and survival of Aedes aegypti (Diptera, Culicidae). Revista Brasileira de Entomologia, 54(3), 488-493.
Dao, A., Yaro, A. S., Diallo, M., Timbiné, S., Huestis, D. L., Kassogué, Y., Traoré, A. I., Sanogo, Z. L., Samaké, D., & Lehmann, T. (2014). Signatures of aestivation and migration in Sahelian malaria mosquito populations. Nature, 516 (7531), 387–390. https://doi.org/10.1038/nature13987.
Huestis, D.L., Dao, A., Diallo, M. et al. (2019). Windborne long-distance migration of malaria mosquitoes in the Sahel. Nature 574, 404–408. https://doi.org/10.1038/s41586-019-1622-4.
Hunter, P. R. (2003). Climate change and waterborne and vector-borne disease. Journal of Applied Microbiology, 94, 37S-46S. Retrieved from https://sfamjournals.onlinelibrary.wiley.com/doi/pdf/10.1046/j.1365-2672.94.s1.5.x.
Patz, J., Strzepek, K., Lele, S. Hedden, M., Greene, S. Noden, B., Hay, S. Kalkstein, L. and Beier, J. (2002). Predicting key malaria transmission factors, biting and entomological inoculation rates, using modelled soil moisture in Kenya. Tropical Medicine and International Health, 3(10), 818-827. https://doi.org/10.1046/j.1365-3156.1998.00309.x.
Sallam, M., Fizer, C., Pilant, A. and Whung, P. (2017). Systematic review: Land cover, meteorological and socioeconomic determinants of Aedes mosquito habitat for risk mapping. International Journal of Environmental Research and Public Health, 14:1230. https://doi.org/10.3390/ijerph14101230.
Shaman, J., Stieglitz, M., Stark, C. Blancq, S., and Cane, M. (2002). Using a dynamic hydrology model to predict mosquito abundances in flood and swamp water. Emerging Infectious Diseases, 8(1), 8-13. Retrieved from https://www.ncbi.nlm.nih.gov/pmc/articles/PMC2730265/.
WHO (2020) Mosquito-borne Diseases. Retrieved from https://www.who.int/neglected_diseases/vector_ecology/mosquito-borne-diseases/en/
Bellone, R. and Failloux, A. (2020). The Role of Temperature in Shaping Mosquito-Borne Viruses Transmission. Frontiers in Microbiology. doi:org/10.3389/fmib.2020.584846
Drakou, K., Nikalaou, T. & Kolious, M. (2020). The Effect of Weather Variables on Mosquito Activity: A Snapshot of the Main Point of Entry of Cyprus. International Journal of Environmental Research and Public Health. 17(4): 1403
Hernandez-Valencia, J., Rincon, D., Marin, A., Naranjo-Diaz, N., & Correa, M. (2020). Effect of land cover and landscape fragmentation on Anopheline mosquito abundance and diversity in an important Columbian malaria endemic region. PLOS ONE. 15(10): E0240207.
Multini, L., Oliveira-Christe, R. & Marrelli, M. (2021). The Influence of the pH and Salinity of Water in Breeding Sites on the Occurrence and Community Composition of Immature Mosquitoes in the Green Belt of the City of Sao Paulo, Brazil. Insects. 12(9): 797
Ohta, S. & Kaga, T. (2012). Effect of climate on malarial vector distribution in Monsoon Asia. Climate Research. 53 (1): 77-88.
Paajimans, K., Takken, W., Githeko, A., & Jacobs, A. (2008). The effect of water turbidity on the near-surface water temperature of larval habitats of the malaria mosquito Anopheles gambiae. International Journal of Biometeorology. 52: 747-753
Silberbush, A. & Tsurism, I. (2015). Dissolved oxygen levels affect the survival and developmental period of the mosquito Culex pipiens. Journal of Vector Ecology. 40(2): 425-427
Yamana, T. & Eltahir, E. (2013). Incorporating the effects of humidity in a mechanistic model of Anopheles gambiae mosquito population dynamics in the Sahel region of Africa. Parasites & Vectors. 6:235. Doi: 10.1186/1756-3305-6-235




